.webp)

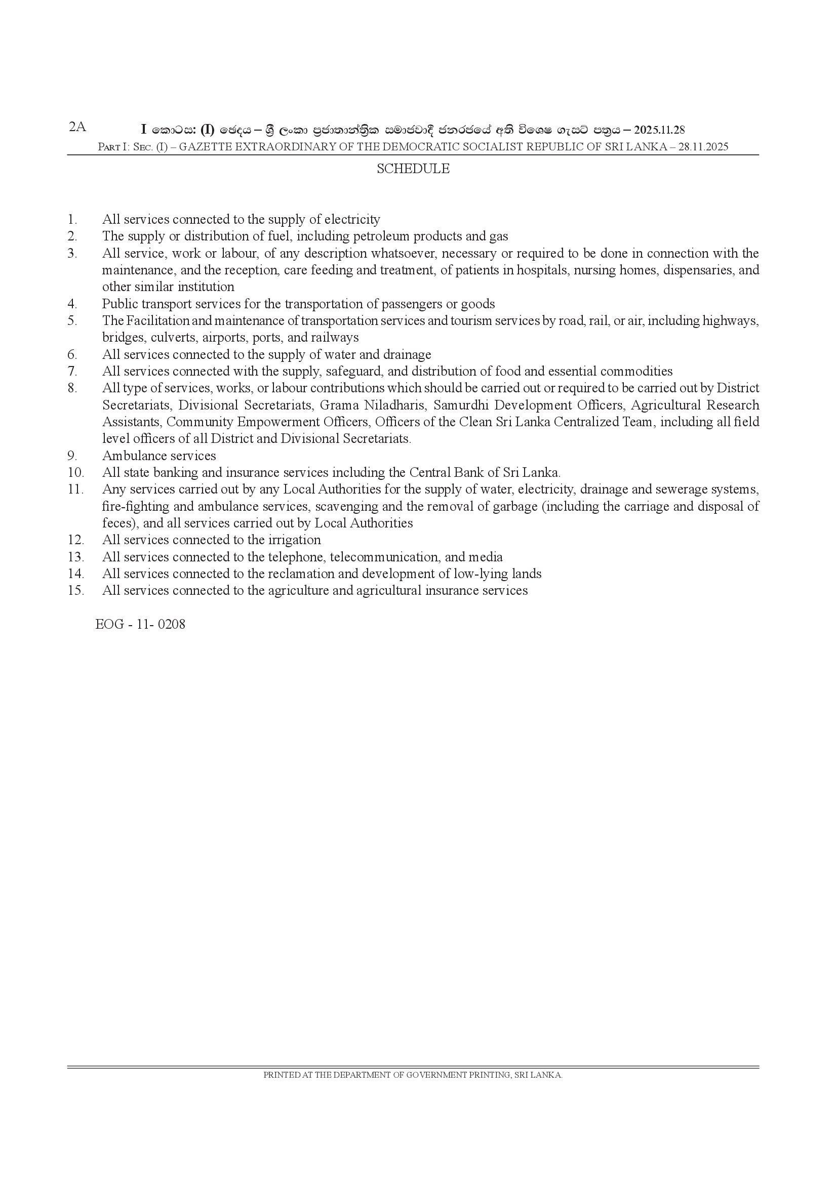
COLOMBO (News 1st); In response to the ongoing disaster caused by Cyclone Ditwah, President Anura Kumara Dissanayake has invoked powers under Section 2 of the Essential Public Services Act, No. 61 of 1979, declaring a wide range of services as essential to the life of the community due to severe adverse weather conditions.
Services Declared Essential Are:
Electricity supply and restoration
Fuel distribution (petroleum products and gas)
Hospital and healthcare services
Public transport for passengers and goods
Maintenance of transportation and tourism infrastructure (roads, rail, air, highways, bridges, airports, ports)
Water supply and drainage
Food and essential commodity distribution
Administrative services (District & Divisional Secretariats, Grama Niladharis, Samurdhi officers, etc.)
Ambulance services
State banking and insurance services (including Central Bank)
Local authority services (water, electricity, drainage, sewerage, fire-fighting, garbage removal)
Irrigation services
Telecommunication and media services
Reclamation and development of low-lying lands
Agriculture and agricultural insurance services
The order emphasizes that these services must continue without interruption to safeguard public welfare during the crisis.


